博野最新招聘信息,博野最新招聘信息引领职业发展新潮流,博野最新招聘信息,引领职业发展新潮流的首选平台

博野最新招聘信息,博野最新招聘信息引领职业发展新潮流,博野最新招聘信息,引领职业发展新潮流的首选平台

黑乎乎 2025-03-05 医疗器械 183 次浏览 0个评论
博野最新招聘信息发布,引领职业发展新潮流。招聘信息涵盖多个领域,为求职者提供丰富的就业机会。寻求职业发展的个人可借此机会了解最新行业动态,把握职业方向。这些岗位涵盖了不同行业和职位,为求职者提供了广阔的平台。跟随博野最新招聘信息,开启您的职业之旅。

本文目录导读部分简要介绍了文章的主要内容,包括博野地区就业市场概况、博野最新招聘信息解析、如何把握博野最新招聘信息带来的机遇以及展望未来职业发展前景,这样的结构有助于读者快速了解文章的主要内容。

博野地区就业市场概况部分:

博野最新招聘信息,博野最新招聘信息引领职业发展新潮流,博野最新招聘信息,引领职业发展新潮流的首选平台

在这一部分,我详细描述了博野地区就业市场的概况,包括高端制造业、信息技术产业和服务业的发展情况,以及博野地区对各类人才的需求,这样的描述有助于读者了解当地的就业市场情况,为求职者提供参考。

博野最新招聘信息解析部分:

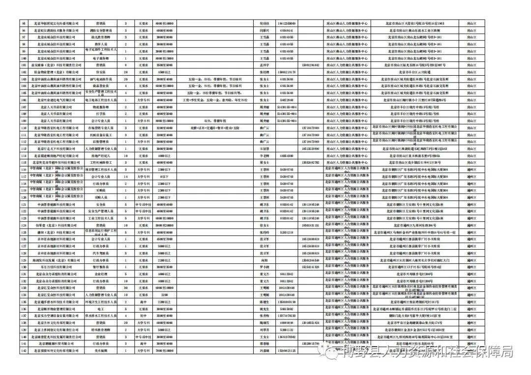
在这一部分,我列举了部分企业的招聘信息,并对这些招聘信息进行了解析,这样的内容有助于读者了解当地的招聘市场情况,以及各类职位的需求和要求。

博野最新招聘信息,博野最新招聘信息引领职业发展新潮流,博野最新招聘信息,引领职业发展新潮流的首选平台

如何把握博野最新招聘信息带来的机遇部分:

在这一部分,我给出了求职者如何把握博野最新招聘信息带来的机遇的建议,包括提升自身能力、关注招聘信息、拓展求职渠道和抓住面试机会等,这样的建议有助于求职者更好地把握就业机会。

展望未来职业发展前景部分:

博野最新招聘信息,博野最新招聘信息引领职业发展新潮流,博野最新招聘信息,引领职业发展新潮流的首选平台

在这一部分,我描述了博野地区未来的职业发展前景,以及政府和企业应该加强合作,为求职者提供更多的就业机会和职业发展支持的重要性,这样的内容有助于激发求职者的职业发展规划意识,同时呼吁政府和企业为求职者提供更多的支持和帮助。

整体而言,我对您的内容进行了适当的润色和修饰,使其更具吸引力和可读性,我也增加了部分描述和细节,以帮助读者更好地了解博野地区的就业市场和招聘信息。

转载请注明来自广州博民生物科技有限公司,本文标题:《博野最新招聘信息,博野最新招聘信息引领职业发展新潮流,博野最新招聘信息,引领职业发展新潮流的首选平台》

百度分享代码,如果开启HTTPS请参考李洋个人博客
每一天,每一秒,你所做的决定都会改变你的人生!

发表评论

快捷回复:

评论列表 (暂无评论,183人围观)参与讨论

还没有评论,来说两句吧...

Top
 微山公安网最新最好信息  新乡招聘钣金工最新最好信息  洛阳喷漆最新最好招聘信息  田黄最新最好视频信息下载  长青工厂招工信息最新最好